发布于:2023-07-25 09:01 阅读次数:
四川2023高考艺术类本科第一批、体育类本科批调档线出炉
2023-07-22 09:06四川教育

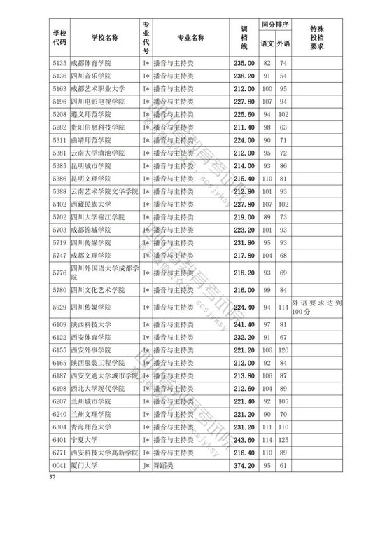
四川省2023年普通高校招生艺术类本科第一批、体育类本科批已于7月21日开始录取。为方便广大考生和家长及时获悉录取信息,省教育考试院按非编导类和编导类发布了艺体类分学校、分专业类调档线。




















































分享到:
标签:
猜你喜欢头条推荐
1 甘孜州泸定县发生6.8级地震 省抗震...
2 全球难度最高级别!我国第二口万米深井...
3 郭勇任四川师范大学党委书记
4 未来4天热度“升级” 四川发布高温蓝...
5 四川省金融监管局正式挂牌
6 非遗珍宝在成都
7 四川泸定6.8级地震 通往震中的S2...
8 四川发布高温蓝色预警,局地将超过38...
9 成都32个运动场馆发布机会清单,13...
10 四川深化温暖人社建设 “十四五”末全...