时间:2023-10-09 21:45 | 来源:墨客学术 | 作者:墨客学术 | 点击:次
内容摘要:为反映近年来白山市地区人口不断下降对经济转型产生的影响,寻找制约白山市振兴的根源,本文试用Logistic回归模型对人口展开预测分析。结果显示,白山市地区人口红利逐步消失,人才流失严重,导致劳动力匮乏,经济发展严重受阻。针对这一现象,在展开人口摸底调查、建立人才资源信息库的同时,还应进一步落实完善税收减免返还、创业扶持、资助科研团队等相关政策,在全国“抢人大战”持续升温过程中,赢得主动,促进发展,实现跨越。
关键词:Logistic模型;人口预测分析;白山市振兴
习近平总书记指出,国家要发展,人才是关键。党和政府历年来高度重视人口问题,强调人口增长要与经济社会发展相适应,与资源利用和环境保护相协调。加强对人口变化的研究,不仅是调整完善“全面放开二胎”政策的基础和前提,更是推动人口结构良性变动和长期均衡发展的基础工作。准确把握人口变动情况,为做好资源配置、产业调整以及未来发展规划指出明确方向。因此,分析人口现状,突破数量制约,处理好人口和经济发展之间的关系,是引领白山市振兴,寻找高质高效发展新方向的重要依据。
一、提出问题
东北地区产业结构不够合理,社会保障措施不够完善,公共服务设施不够健全等现象普遍存在,根据“教育的选择性”原理,受教育程度较高的人才会向着可以提供更好的公共服务和发展空间的地区流动,这就导致东北地区人才流失严重。而人是最活跃、最持续、最有效的发展要素,是支撑经济社会发展的第一资源,人口的变动必然会影响经济发展,就白山市发展状况而言,人口增长可以扩展市场规模,从而促进消费、扩大再生产、突破经济逆势发展;人口下降,则会导致劳动力匮乏,经济发展再次“遇冷”,进而滋生新的增长动力不足等问题。合理的人口分布和资源配置才会为绿色转型提供“换道超车”的驱动力。
近年来,白山市总人口数不断下降,针对这一现象的出现,是否处于正常范畴之内,是当下急需研讨的问题。本文运用Logistic回归模型,通过新中国成立以来,白山市人口数量与人口增长等方面的变化特征和规律展开预测、研判和分析,试为地区社会经济发展的规划与决策提供科学依据。
二、用Logistic模型对人口数量的预测
Logistic模型起源于人们对人口问题的研究,即:人口增长到一定数量后,自然资源、环境条件等因素对人口增长率起到阻滞作用,且随着人口逐渐增多,阻滞作用效果越明显。
(一)前提假设
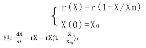
1.在短期时间内,白山地区相对稳定,无重大灾害和人口大规模迁移等情况,那么,人口增长率不会发生特别大的变化,即人口增长率r为常数,且增长率r是人口数X的线性减函数,可得:
r(X)=-λX+r(r,λ> 0)
2.为确定系数λ的意义,引入当前由资源与环境等因素所能容纳的最大人口数Xm。
(二)分析模型的建立
当白山地区达到最大人口数时,增长率应为0,即当X=Xm时,得到r(Xm)=0,于是有λ=r/Xm。
综上所述,可得到阻滞增长模型:

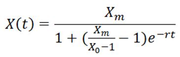
(三)模型求解

根据所得,可推出X与dX/dt的数学关系,如图1:
